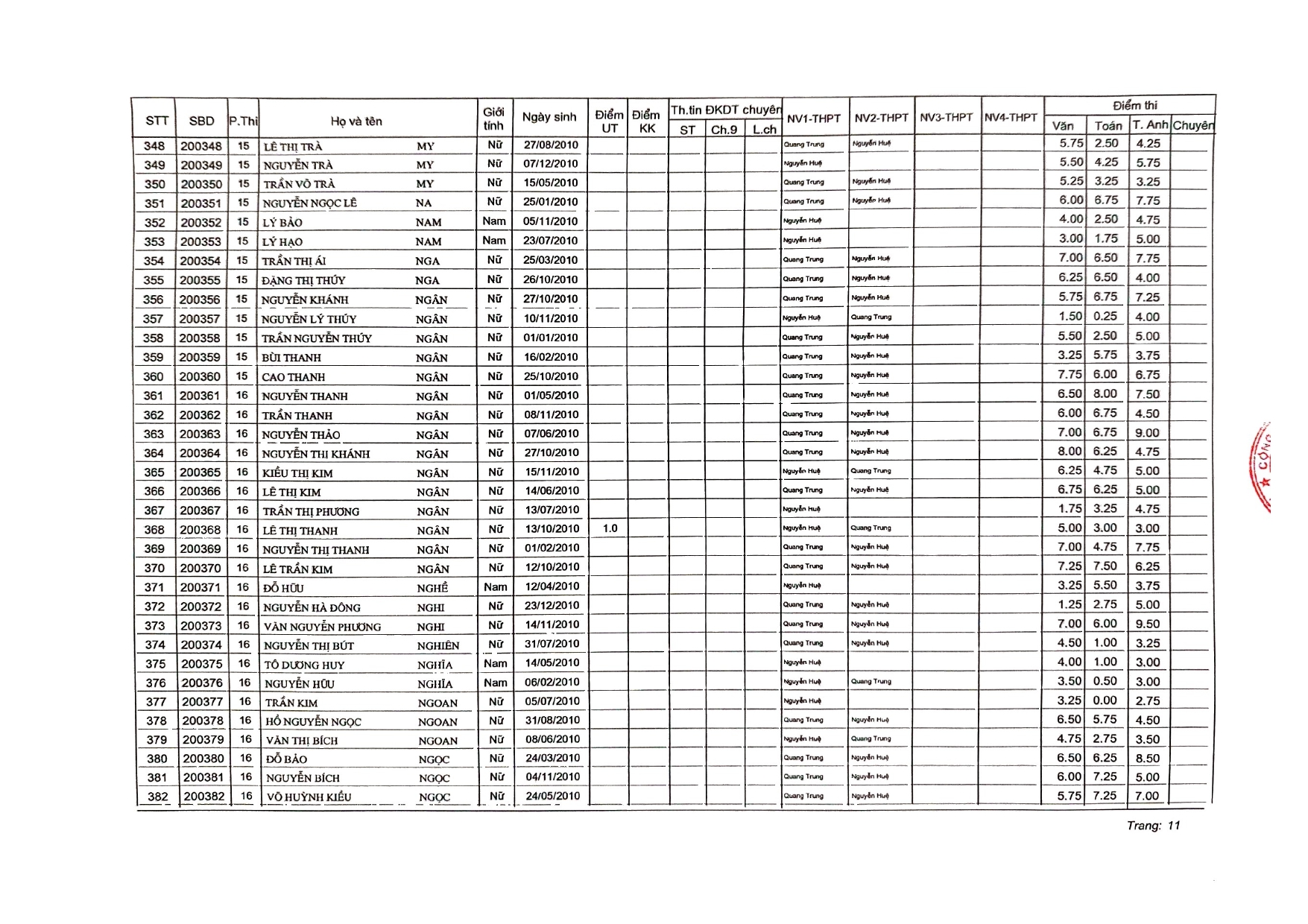
Thông báo điểm Tuyển sinh vào lớp 10 năm học 2025-2026 và thời gian nhận đơn phúc khảo (đối với thí sinh đăng ký nguyện vọng 1 tại trường THPT Nguyễn Huệ).
- Bảng ghi điểm Tuyển sinh vào lớp 10 năm học 2025-2026
BẢNG GHI ĐIÊM TUYỂN SINH 10_2025- Nhà trường nhận đơn phúc khảo từ ngày 12/6/2025 đến 10g00 ngày 15/6/2025 (tại văn phòng nhà trường). Tải đơn phúc khảo: đơn phúc khảo tuyển sinh 10 (don phuc khao tuyen sinh 10)-2025




